
O quadro apresentado, que ilustra a cena em que um tiranossauro levanta um automóvel, foi pintado com tinta acrílica. A palavra acrílica se refere ao tipo de resina presente na tinta: dos poliacrilatos. A resina é o componente que forma o filme sólido aderido à superfície após a aplicação da tinta. Após essa aplicação, ocorre a polimerização do monômero — o qual está inicialmente na forma líquida —, e, assim, origina-se o filme sólido. Um exemplo de monômero das tintas acrílicas é o metacrilato de metila, que pode ser obtido a partir da reação de esterificação do ácido metacrílico com metanol, conforme mostrado a seguir.

Tabela I. Entalpias padrão de formação (ΔHf) a 25 ºC e pontos de fusão (PF) e de ebulição (PE)
|
composto |
*ΔHf (kJ/mol) | **PF (ºC) |
**PE (ºC) |
|
ácido metacrílico |
418 | 15 | 163 |
|
metanol |
245 | 97 | 65 |
|
metacrilato de metila |
386 | 48 | 100 |
|
água |
286 | 0 | 100 |
* para o estado físico mais estável da substância a 25 ºC e 1,0 bar
** a 1,0 bar
Tabela II. Velocidades da reação de polimerização do metacrilato de
metila medidas para diferentes concentrações do monômero e do
iniciador
|
concentração |
velocidade |
|
|
do monômero |
do iniciador | |
| x | y | z |
| 4x | y | 4z |
| 4x | 4y | 8z |
Considerando as informações fornecidas e os dados apresentados nas tabelas I e II, julgue os itens de 11 a 14 e faça o que se pede no item 15, que é do tipo C.
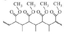
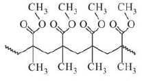
Considerando que a cura da resina de metacrilato de metila consista em uma reação de polimerização por adição, assinale a opção que representa corretamente uma pequena parte da estrutura do polímero formado.