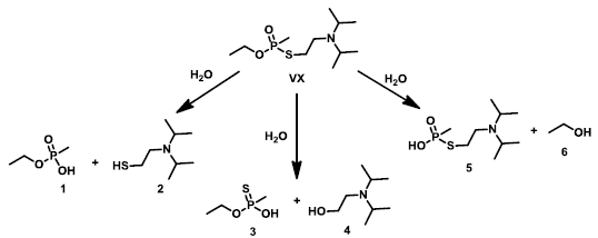
O Nobel da Paz de 2013 foi entregue à Organização para a Proibição das Armas Químicas, o que reforçou a preocupação mundial quanto à erradicação desse tipo de armamento. O VX é um agente químico altamente tóxico, classificado como arma de destruição em massa. A eliminação desse agente é realizada via degradação, que pode ocorrer por três caminhos, tal como ilustrado ao lado. No entanto, o composto “5” também pode atuar como arma química, por ser muito mais tóxico que os outros produtos da degradação.

Fonte: SMITH, B.M. Catalytic methods for the destruction of chemical warfare a gents under ambient conditions. In: Chemical Society Reviews, v. 37, p.470-478, 2008. Adaptado.
O quadro abaixo mostra as condições para detoxificação do agente VX e respectivos resultados pelos diferentes métodos.

Com base nas informações fornecidas, qual método de detoxificação é mais eficiente?