Magna Concursos
76490 Ano: 2009
Disciplina: Engenharia Mecânica
Banca: VUNESP
Orgão: CETESB
Provas:

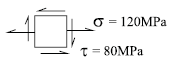
Analise o estado de tensão apresentado na figura. Os valores da maior e da menor tensão principal são, respectivamente,

Enunciado 3418921-1

 

Provas

Questão presente nas seguintes provas

Engenheiro Mecânico

50 Questões