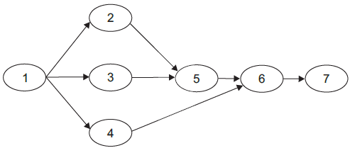
Durante o planejamento e detalhamento de serviços de manutenção de um equipamento eletrônico, foi elaborado o seguinte diagrama e a respectiva tabela de atividades.

| Nº |
Atividade | Tempo de Execução | Técnico Executante |
| 1 | Desmontar o equipamento | 1 hora | Artur |
| 2 | Consertar o subconjunto I | 3 horas |
Barros |
| 3 | Consertar o subconjunto II | 2 horas | Carlos |
| 4 | Consertar o subconjunto III | 1 hora | Carlos |
| 5 | Montar os subconjuntos I e II | 4 horas | Artur |
| 6 | Acoplar o subconjunto III aos subconjuntos I e II | 2 horas | Artur |
| 7 | Pintar o equipamento | 1 hora | Artur |
Com base no planejamento e detalhamento apresentado acima, o tempo total, em horas, para o serviço de manutenção do equipamento é:
Provas
Questão presente nas seguintes provas
Técnico de Exploração de Petróleo - Eletrônica
70 Questões