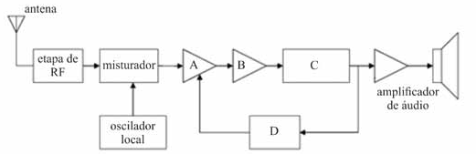
Considerando a figura apresentada, julgue o próximo item,
relativo ao receptor AM super-heteródino.
O bloco identificado na figura como D corresponde ao detector
de envoltória utilizado no receptor AM super-heteródino,
enquanto o bloco C corresponde a um filtro passa-baixas.