1930849
Ano: 2020
Disciplina: TI - Desenvolvimento de Sistemas
Banca: DIRENS Aeronáutica
Orgão: EEAr
Disciplina: TI - Desenvolvimento de Sistemas
Banca: DIRENS Aeronáutica
Orgão: EEAr
Provas:
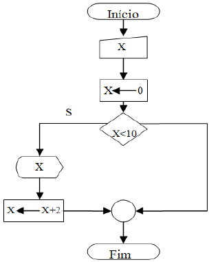
A sargento A.Souza, programadora da seção de informática da EEAR, criou o diagrama da figura abaixo, que representa um algoritmo. O que esse algoritmo faz?
