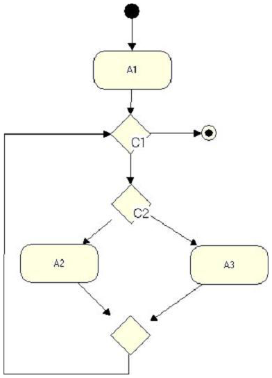
Observe o fluxograma abaixo que representa o fluxo de controle para um algoritmo hipotético.

Pode-se afirmar que a complexidade ciclomática do algoritmo é:

Pode-se afirmar que a complexidade ciclomática do algoritmo é: