Magna Concursos
1036005 Ano: 2016
Disciplina: Química
Banca: CESPE / CEBRASPE
Orgão: Polícia Científica-PE
Provas:

Texto 5A3AAA

experimento

concentração inicial (mol.L–1) /S2O82- I-

velocidade inicial (mol.L-1 .s-1)

1

0,15

0,20

1,1

2

0,30

0,20

2,2

3

0,30

0,10

1,1

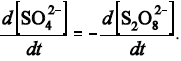
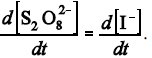
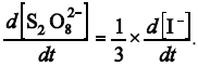
A tabela acima apresenta a velocidade inicial da reação seguinte em função das concentrações iniciais dos reagentes. S2 O8 2- (aq) + 3 I- (aq) -> 2 SO42- (aq) + I3- (aq)

A relação correta entre as taxas de variações das concentrações das espécies envolvidas na reação apresentada no texto 5A3AAA, desconsiderando a ocorrência de intermediários, é
 

Provas

Questão presente nas seguintes provas

Perito Criminal - Química

100 Questões