O problema apresentado a seguir, encontrado no Papiro Matemático Rhind ou Ahmos — 1650 a.C —, envolve a noção de progressão aritmética. "Divida 100 pães por 5 homens, de modo que as quantidades recebidas por cada um estejam em progressão aritmética e que a soma das duas quantidades menores seja igual a
da soma das outras três." Com base nessas informações e designando por a o termo inicial e por r a razão da progressão aritmética, julgue os itens a seguir.
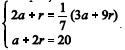
A solução do problema egípcio também é solução do seguinte sistema de equações lineares:

Provas
Questão presente nas seguintes provas