
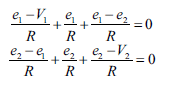
A figura acima mostra um circuito elétrico que contém fontes de tensão constante e resistores com mesmo valor de resistência. No circuito, estão indicados dois nós representando os potenciais e1 e e2, em relação à referência (terra). Com relação a esse circuito elétrico, julgue os itens de 58 a 63.
As equações apresentadas a seguir podem corresponder corretamente às equações nodais do circuito.

Provas
Questão presente nas seguintes provas
Agente Técnico de Inteligência - Eletrônica
150 Questões