Magna Concursos
701998 Ano: 2019
Disciplina: Matemática
Banca: VUNESP
Orgão: Pref. Cerquilho-SP

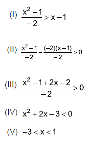
Considere a seguinte resolução para a inequação enunciado 701998-1

enunciado 701998-2

Analisando as passagens apresentadas, é correto afirmar que

 

Provas

Questão presente nas seguintes provas

Professor da Educação Básica - Matemática

60 Questões