Magna Concursos
860445 Ano: 2016
Disciplina: Economia
Banca: FCC
Orgão: COPERGÁS-PE
Provas:
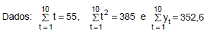
Com o objetivo de estimar o seu faturamento anual (y), em milhões de reais, no ano (2005 + t), uma empresa optou pela utilização do modelo linear yt = α + βt + ∈t, em que α e β são parâmetros desconhecidos e ∈t corresponde ao erro aleatório com as respectivas hipóteses da regressão linear simples. Utilizando o método dos mínimos quadrados e com base nas informações dos faturamentos anuais de 2006 até 2015 da empresa, obteve-se que as estimativas de α e da variância σ2 do modelo teórico foram 11,5 e 29,70, respectivamente.
enunciado 860445-1
Com relação ao modelo adotado pela empresa, as informações acima e a reta obtida pelo método dos mínimos quadrados, é correto afirmar que
 

Provas

Questão presente nas seguintes provas

Analista - Economia

60 Questões