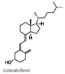
A vitamina D é muitas vezes conhecida como a vitamina do sol, contudo, somente a vitamina D3 (colecalciferol) é produzida por meio da síntese natural da luz solar sobre a pele. A vitamina D3 é considerada a forma mais benéfica ao corpo, pois regula o nível de cálcio e fósforo no sangue, o que é vital para o desenvolvimento e o crescimento dos ossos. Ela reduz o risco de câncer de próstata, câncer de mama e câncer de cólon.

Com relação à estrutura da vitamina D3, assinale a afirmação correta.