Magna Concursos
2615910 Ano: 2022
Disciplina: Química
Banca: Marinha
Orgão: Marinha

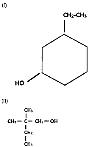
Analise as duas moléculas orgânicas representadas abaixo.

Enunciado 3530495-1

Assinale a opção que apresenta, respectivamente, os compostos (I) e (li).

 

Provas

Questão presente nas seguintes provas

Corpo Auxiliar de Praças - Química

50 Questões