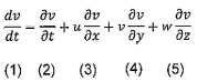
Considere os termos enumerados em ordem crescente, da esquerda para direita (1, 2, 3,4 e 5) da equação abaixo.

Analise as seguintes afirmativas referentes à equação apresentada acima e assinale a opção correta.
I - No estado estacionário, o termo 2 é nulo.
Il - Cada um dos termos tem unidades de força por unidade de massa.
III - O termo 1 é chamado de derivada local.
IV - Os termos 3, 4 e 5 são chamados de advectivos.
Provas
Questão presente nas seguintes provas