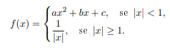
Para a, b, c ∈ R, considere a função f : R → R definida por

Para que f seja derivável em R, o valor de a + b + c deve ser:

Para que f seja derivável em R, o valor de a + b + c deve ser:
Provas
Questão presente nas seguintes provas