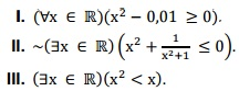
Dadas as proposições, sendo o conjunto dos números reais,

verifica-se que assume(m) valor lógico verdadeiro
Provas
Questão presente nas seguintes provas
Dadas as proposições, sendo o conjunto dos números reais,

verifica-se que assume(m) valor lógico verdadeiro