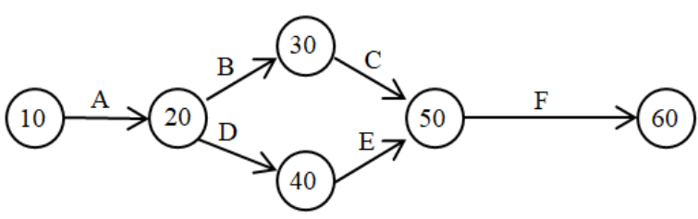
A figura a seguir apresenta um diagrama de flechas, de uma obra, com suas atividades A, B, C, D, E e F e os seus respectivos tempos, em dias: 5, 7, 5, 6, 8 e 2.

Qual o prazo necessário para a conclusão da obra?
Provas
Questão presente nas seguintes provas