Magna Concursos
2776272 Ano: 2023
Disciplina: Matemática
Banca: IF-MG
Orgão: IF-MG

Para n ∈ R, a equação diferencial ordinária

dy / dt + g(t)y = h(t)yn ,

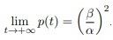
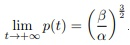
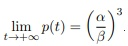
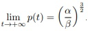
é conhecida como equação de Bernoulli, em homenagem ao celebre matemático suíço Jacob Bernoulli (1654-1705). Dentre outras aplicações, a equação de Bernoulli pode ser utilizada como modelo matemático para o estudo do crescimento de peixes, através da equação

dp / dt = αp2/3βp,

também conhecida como equação de von Bertalanffy, em homenagem ao biólogo austríaco Ludwig von Bertalanffy (1901-1972). Na equação de von Bertalanffy, a função incógnita p(t) representa o peso do peixe no instante de tempo t e as constantes α > 0 e β > 0, respectivamente, as taxas de ganho de massa (anabolismo) e perda de massa (catabolismo) do peixe. Nessas condições, após resolver a equação de von Bertalanffy e observar a sua solução, pode-se verificar que:

 

Provas

Questão presente nas seguintes provas