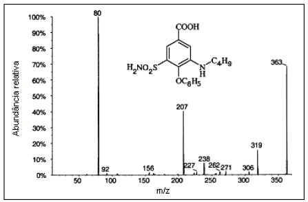
Para a elucidação da estrutura de compostos orgânicos, aplica-se a espectrometria de massas. Analise a figura que apresenta o espectro de massas do bumetanida.

(Thevis et al. Espectro de massas da bumetanida (m/z = 363) produzido por ESI . 2003. – Com adaptações.)
Sobre o espectro representado, é INCORRETO afirmar que o(a)