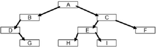
Efetuar uma pesquisa dentro de uma tabela pode trazer melhores resultados se todos os registros que a compõem estiverem ordenados. Ao executar uma pesquisa, é feita uma comparação, entre a chave pesquisada e a chave que está no meio dessa tabela. Se a chave pesquisada for menor, então ela poderá estar na primeira metade da tabela, caso contrário, a chave pesquisada poderá estar na segunda metade da tabela. A árvore de pesquisa é uma estrutura de dados muito eficiente para armazenar informação. Em uma árvore podem ser efetuados percursos, que são visitas a cada um de seus nós. Dessa forma, visita-se todos os nós. Observe a seguinte estrutura de uma árvore.

Assinale, a seguir, o percurso em pós-ordem dessa árvore.

Assinale, a seguir, o percurso em pós-ordem dessa árvore.