1703897
Ano: 2016
Disciplina: TI - Desenvolvimento de Sistemas
Banca: COPS-UEL
Orgão: Câm. Londrina-PR
Disciplina: TI - Desenvolvimento de Sistemas
Banca: COPS-UEL
Orgão: Câm. Londrina-PR
Provas:
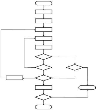
Considere o fluxograma a seguir.

Sobre esse fluxograma, considere as afirmativas a seguir.
I. O fluxograma contém 3 estruturas de repetição.
II. O fluxograma representa um programa estruturado.
III. O fluxograma possui 2 pontos de saída.
IV. O fluxograma possui 5 estruturas de decisão.
Assinale a alternativa correta.