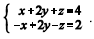
Assinale a opção correta com relação ao sistema de equações lineares
O sistema não possui solução.
Cada equação do sistema representa uma reta em R3 .
As soluções do sistema pertencem à uma reta cujo vetor direção é (-1, 1, 0).
A solução do sistema pode ser escrito como combinação linear dos vetores (1, 2, 1) e (-1, 2, -1).
Olá, para continuar, precisamos criar uma conta! É rápido e grátis.