Magna Concursos
1833754 Ano: 2013
Disciplina: Engenharia Eletrônica
Banca: VUNESP
Orgão: DCTA

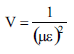
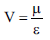
A velocidade de fase de uma onda eletromagnética é dada pela seguinte expressão (sendo μ a permeabilidade e ε a permissividade do meio):

 

Provas

Questão presente nas seguintes provas

Tecnologista Jr - Eletrônica I

70 Questões