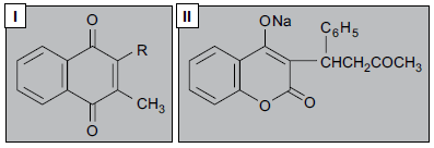
A imagem a seguir apresenta a vitamina K (I) e seu antagonista (II), um fármaco anticoagulante, utilizado na prevenção da trombose.

O fármaco II é
A imagem a seguir apresenta a vitamina K (I) e seu antagonista (II), um fármaco anticoagulante, utilizado na prevenção da trombose.

O fármaco II é