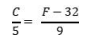
Uma escala termométrica é um conjunto de valores construído para medir
temperaturas. Entre elas, estão a escala Fahrenheit (símbolo F) e a escala Celsius
(símbolo C), ambas com subdivisões chamadas graus. A relação entre os valores de uma
determinada temperatura medida nessas duas escalas é dada pela proporção: 
Uma câmara fria deve ser regulada para 15ºC (15 graus na escala Celsius), porém o dispositivo interno de regulagem de temperatura nessa câmara utiliza a escala Fahrenheit. Assim, nesse marcador a temperatura deverá ser ajustada para:
Uma câmara fria deve ser regulada para 15ºC (15 graus na escala Celsius), porém o dispositivo interno de regulagem de temperatura nessa câmara utiliza a escala Fahrenheit. Assim, nesse marcador a temperatura deverá ser ajustada para: