O mercado de trabalho de uma economia é caracterizado da seguinte forma:
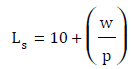
A oferta de trabalho é igual a
e a demanda por trabalho é determinada por
O produto é determinado em função da quantidade de trabalho da seguinte forma: Y= F(L) = 20L- 0,12L.
Com base nessas informações, é correto afirmar que:
A oferta de trabalho é igual a
e a demanda por trabalho é determinada por
O produto é determinado em função da quantidade de trabalho da seguinte forma: Y= F(L) = 20L- 0,12L.
Com base nessas informações, é correto afirmar que: