Magna Concursos
643072 Ano: 2008
Disciplina: Matemática
Banca: FCC
Orgão: METRO-SP

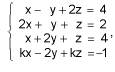
Considere o sistema linear S: enunciado 643072-1 em que x, y e z são incógnitas reais.

Se S admite uma única solução, então a constante k é um número real

 

Provas

Questão presente nas seguintes provas