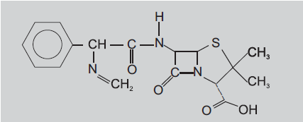
O composto foi obtido por modificação molecular, sendo um derivado de penicilina com espectro de ação estendido e administração por via oral. Observe as características da cadeia lateral do anel beta-lactâmico e assinale a alternativa correta.

O composto foi obtido por modificação molecular, sendo um derivado de penicilina com espectro de ação estendido e administração por via oral. Observe as características da cadeia lateral do anel beta-lactâmico e assinale a alternativa correta.
