Magna Concursos
155352 Ano: 2018
Disciplina: Engenharia Mecânica
Banca: CESGRANRIO
Orgão: Transpetro
Provas:

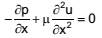
A equação de Navier Stokes para um escoamento na direção x do sistema cartesiano é dada por:

Enunciado 155352-1

sendo u, v e w as componentes de velocidade nas direções x, y e z respectivamente; ρ a massa específica, μ a viscosidade dinâmica, gx a componente da gravidade na direção x e p a pressão. Considere um escoamento na direção x como sendo viscoso, incompressível, laminar e plenamente desenvolvido entre duas placas paralelas horizontais imóveis e separadas por uma distância vertical b na direção y.

A equação de Navier Stokes, simplificada, em que os termos que não contribuem para o problema em questão se tornam nulos é:

 

Provas

Questão presente nas seguintes provas

Engenheiro Mecânico

70 Questões