Deseja-se estabelecer um enlace de micro-ondas na frequência
de 10 GHz em visibilidade entre dois prédios P1 e P2. Duas torres
idênticas serão instaladas no topo dos prédios de tal forma que
as antenas sejam posicionadas a uma altura hT acima do topo
dos prédios.
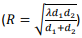
Na visada do enlace existe um obstáculo do tipo gume-de-faca com altura ho e distante d2 de P2. Sabe-se que um enlace é considerado em visibilidade quando a distância vertical (H) entre a linha de visada e o obstáculo é maior do que 60% do raio da primeira zona de Fresnel
na posição do obstáculo,
onde λ é o comprimento de onda.

Na condição de Terra plana, o valor de hT é igual a
Na visada do enlace existe um obstáculo do tipo gume-de-faca com altura ho e distante d2 de P2. Sabe-se que um enlace é considerado em visibilidade quando a distância vertical (H) entre a linha de visada e o obstáculo é maior do que 60% do raio da primeira zona de Fresnel

Na condição de Terra plana, o valor de hT é igual a