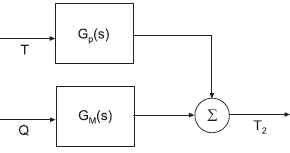
Um sistema é formado por dois tanques agitados, tanque 1 e tanque 2, com fornecimento de aquecimento ao tanque 1 com taxa Q. Um líquido entra no sistema a uma temperatura T e sai dos tanques com temperaturas T1 e T2, respectivamente. O comportamento térmico desse sistema pode ser representado na forma do diagrama de blocos apresentado abaixo.

O comportamento térmico desse sistema também pode ser descrito através da função de transferência