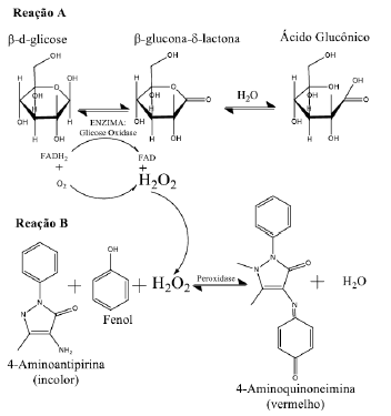
A determinação da glicose no soro de um paciente em um laboratório de análises clínicas moderno é realizada em um equipamento automatizado, onde o soro do paciente é colocado nesse aparelho e uma reação é processada em uma cubeta preenchida com volume do soro do paciente e de reagente. Todo o processo é controlado por sistema computadorizado que ajusta desde a temperatura de incubação da cubeta, o tempo de reação e até a pipetagem de amostra e de reagentes. Em dosagens manuais o volume de reagente utilizado e de amostras são maiores do que em dosagem em sistemas automatizados. Um dos métodos mais utilizados e comum para a determinação da glicose é por meio da reação enzimática de ponto final. Esta reação consiste na oxidação da glicose por intermédio de uma enzima gerando um produto intermediário que faz parte de uma segunda reação, formando um produto de cor. A quantidade do produto cromóforo é proporcional, portanto, à quantidade de glicose na amostra do paciente utilizado na reação. Assim, uma amostra que produz maior intensidade de cor terá maior quantidade de glicose.

Qual das afirmativas a seguir expressa corretamente os conceitos de automação da determinação da glicose e o método descrito na questão e seus reagentes?