Magna Concursos
1460604 Ano: 2006
Disciplina: Matemática
Banca: UFABC
Orgão: UFABC
Provas:

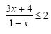
Os valores reais de x que satisfazem a desigualdade enunciado 1460604-1 são:

 

Provas

Questão presente nas seguintes provas

Auditor-Fiscal

50 Questões