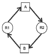
A figura a seguir apresenta dois processos A e B, representados por quadrados, e dois recursos R1 e R2, representados por círculos. Quando um processo solicita um recurso, uma seta é dirigida do quadrado ao círculo. Quando um recurso é alocado a um processo, uma seta é dirigida do círculo ao quadrado.

Na situação retratada na figura, cada processo solicita um recurso que está alocado para o outro. No contexto dos Sistemas Operacionais, essa é uma situação conhecida como: