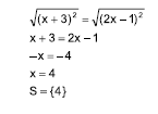
Um professor do 9º o ano pediu que seus alunos resolvessem a equação (x + 3)2 = (2x – 1)2 . Um dos alunos resolveu o problema da seguinte forma:

Com relação à resolução feita pelo aluno, é correto afirmar que ele encontrou
Um professor do 9º o ano pediu que seus alunos resolvessem a equação (x + 3)2 = (2x – 1)2 . Um dos alunos resolveu o problema da seguinte forma:

Com relação à resolução feita pelo aluno, é correto afirmar que ele encontrou