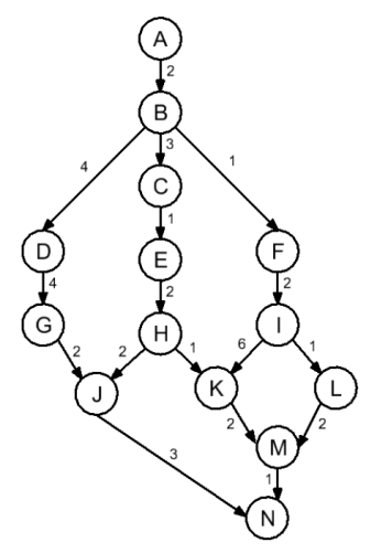
A figura a seguir apresenta a rede PERT/CPM de uma obra, que consiste das atividades identificadas pelas letras A a N.

Nessa rede, o caminho crítico é definido pela sequência de etapas:
A figura a seguir apresenta a rede PERT/CPM de uma obra, que consiste das atividades identificadas pelas letras A a N.

Nessa rede, o caminho crítico é definido pela sequência de etapas: