Magna Concursos
625095 Ano: 2013
Disciplina: Engenharia Eletrônica
Banca: CESPE / CEBRASPE
Orgão: Min. Saúde
Provas:
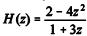
Considerando o sistema linear discret o representado pela equação de diferenças y [n] = 3y [n-1] + 2x [n] - 4x [n-2], em que x [n] é o sinal de entrada e y [n] é o sinal de saída, julgue os itens subsequentes.
A função de transferência do referido sistema é Enunciado 625095-1.
 

Provas

Questão presente nas seguintes provas

Engenheiro Eletricista

120 Questões