Magna Concursos
1426848 Ano: 2008
Disciplina: Matemática
Banca: CESPE / CEBRASPE
Orgão: UEPA
Provas:

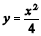
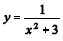
A área da região finita e limitada pelos gráficos das funções enunciado 1426848-1 e enunciado 1426848-2 é igual a

 

Provas

Questão presente nas seguintes provas

Técnico - Matemática

40 Questões