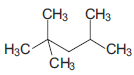
Analise a fórmula que representa a estrutura do iso-octano, um derivado de petróleo componente da gasolina.

De acordo com a fórmula analisada, é correto afirmar que o iso-octano
Provas
Questão presente nas seguintes provas
Analise a fórmula que representa a estrutura do iso-octano, um derivado de petróleo componente da gasolina.

De acordo com a fórmula analisada, é correto afirmar que o iso-octano