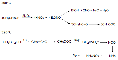
Com foco no desenvolvimento de tecnologias voltadas para a solução de problemas ambientais gerados pela industrialização, muitos estudos de catalisadores e rotas reacionais são feitos a fim de reduzir ao máximo a emissão de gases poluentes.
O esquema a seguir apresenta um importante mecanismo de reação que visa à utilização de etanol para a oxirredução de gases do tipo NOx:
