3132299
Ano: 2023
Disciplina: Engenharia Química
Banca: INQC
Orgão: Pref. Sant'ana Livramento-RS
Disciplina: Engenharia Química
Banca: INQC
Orgão: Pref. Sant'ana Livramento-RS
Provas:
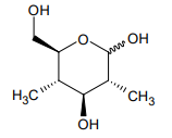
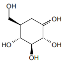
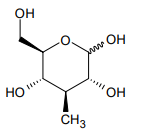
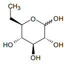
A glicose é um açúcar simples, também conhecido como um monossacarídeo, que desempenha um papel crucial como fonte de energia para os seres vivos. Ela é uma das principais formas de carboidratos que nosso corpo utiliza para produzir energia através do processo de metabolismo. A fórmula molecular da glicose é C6 H12 06 , o que significa que uma molécula de glicose consiste em seis átomos de carbono, doze átomos de hidrogênio e seis átomos de oxigênio.
Assinale a alternativa que contém a representação da fórmula estrutural da glicose.