
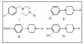
A figura acima mostra as estruturas de compostos que possuem uma unidade de piperazina em sua estrutura. Esse tipo de molécula pode se ligar a receptores de serotonina. Embora os compostos derivados de piperazina não possam ser todos considerados como compostos seletivos para receptores de serotonina, eles podem ser convertidos em compostos sitiosseletivos mais específicos, pela preparação de derivados com substituintes cuidadosamente selecionados. Em função de sua fácil disponibilidade e de seu caráter legal, esse grupo de compostos psicoativos tem uso potencial na síntese de drogas de uso abusivo. Acerca das estruturas dos compostos da figura, julgue os itens a seguir.
A piperazina ligada ao anel aromático em I é um grupo doador de elétrons.