Uma placa está sobre uma plataforma plana e horizontal, conforme visto na figura.
Entre a placa e a superfície da plataforma existe um filme de óleo viscoso com uma espessura regular e
constante de 1 mm.
Uma lata de areia está ligada à placa por um único fio flexível e inextensível. Foi verificado que este balde desce sob a ação da gravidade a uma velocidade constante de 0,02 m/s.
Dados:
• área da superfície da placa: 6 m²;
• viscosidade dinâmica constante do óleo, μ: 4 N.s/m²;
• densidade da areia: 1600 kg/m³;
• aceleração da gravidade, g: 10 m/s²;
• peso do balde é desprezível;
• considerar a polia livre de atrito;
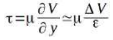
• tensão de cisalhamento:
onde, ε é a espessura do filme e ΔV é a diferença de velocidade a uma distância de superfícies.
Qual a quantidade de areia no balde?
Uma lata de areia está ligada à placa por um único fio flexível e inextensível. Foi verificado que este balde desce sob a ação da gravidade a uma velocidade constante de 0,02 m/s.
Dados:
• área da superfície da placa: 6 m²;
• viscosidade dinâmica constante do óleo, μ: 4 N.s/m²;
• densidade da areia: 1600 kg/m³;
• aceleração da gravidade, g: 10 m/s²;
• peso do balde é desprezível;
• considerar a polia livre de atrito;
• tensão de cisalhamento:
onde, ε é a espessura do filme e ΔV é a diferença de velocidade a uma distância de superfícies.
Qual a quantidade de areia no balde?