Magna Concursos
3389642 Ano: 2013
Disciplina: Física
Banca: UFPA
Orgão: UFPA

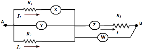
Enunciado 3732513-1

Considerando-se que: R1 = 20 \( \Omega \), R2 = 80 \( \Omega \) e R3 = 14 \( \Omega \) qual o valor da resistência equivalente (em \( \Omega \)), do circuito entre os pontos A e B?

 

Provas

Questão presente nas seguintes provas

Técnico de Laboratório - Física

50 Questões