As seguintes afirmações foram feitas por alunos ao realizarem uma atividade propostas pelo professor:
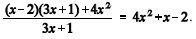
I
.
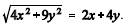
II
.
III Se x e y são números irracionais, então x + y é um número irracional.
IV
.
Acerca dessas afirmações, assinale a opção correta.
Provas
Questão presente nas seguintes provas