44737
Ano: 2004
Disciplina: TI - Desenvolvimento de Sistemas
Banca: FUNDEP
Orgão: Câm. Belo Horizonte-MG
Disciplina: TI - Desenvolvimento de Sistemas
Banca: FUNDEP
Orgão: Câm. Belo Horizonte-MG
Provas:
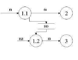
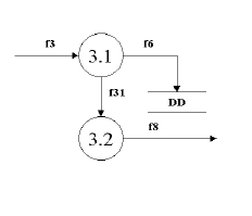
Analise este diagrama:

Assinale a alternativa que apresenta uma “explosão” CORRETA desse diagrama.