Magna Concursos
421750 Ano: 2015
Disciplina: Engenharia Elétrica
Banca: BIO-RIO
Orgão: IF-RJ
Provas:

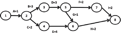
Considere o cronograma baseado no modelo PERT/CPM abaixo:

Enunciado 421750-1

O caminho crítico é determinado pelas atividades:

 

Provas

Questão presente nas seguintes provas

Engenheiro Eletricista

50 Questões