Magna Concursos
335325 Ano: 2018
Disciplina: TI - Desenvolvimento de Sistemas
Banca: UFTM
Orgão: UFTM
Provas:

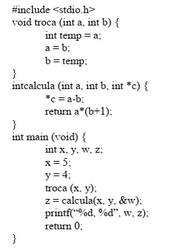
Considere o trecho de código em C abaixo:

enunciado 335325-1

O que será exibido no console, quando a função main for executada?

 

Provas

Questão presente nas seguintes provas

Engenheiro da Computação

40 Questões