Em uma aula, o professor ofereceu a seus alunos o seguinte problema:
O salário de Paulo é depositado em um banco todo mês. Após juntar o dobro do seu salário e depois de pagar a mensalidade da faculdade ficou com 5 mil reais. Dois meses depois, ele tinha em sua conta o valor do seu salário e mais o valor de 3 mensalidades da faculdade, o que totalizou 6 mil reais. Paulo constatou ainda que se somasse o dobro de seu salário ao valor da mensalidade, resultaria 7 mil reais. Encontre um modelo que represente a situação: nomeie x o valor do salário de Paulo e y o valor da mensalidade da faculdade.
Foram três as soluções encontradas por seus alunos:
A primeira exibia o sistema de equações
como A segunda, exibia o sistema de equações
como modelo para o problema.
A terceira solução encontrada exibia a equação x + 3 (2x – 5) = 6 como modelo para o cálculo do salário.
O salário de Paulo é depositado em um banco todo mês. Após juntar o dobro do seu salário e depois de pagar a mensalidade da faculdade ficou com 5 mil reais. Dois meses depois, ele tinha em sua conta o valor do seu salário e mais o valor de 3 mensalidades da faculdade, o que totalizou 6 mil reais. Paulo constatou ainda que se somasse o dobro de seu salário ao valor da mensalidade, resultaria 7 mil reais. Encontre um modelo que represente a situação: nomeie x o valor do salário de Paulo e y o valor da mensalidade da faculdade.
Foram três as soluções encontradas por seus alunos:
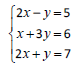
A primeira exibia o sistema de equações
como A segunda, exibia o sistema de equações
como modelo para o problema.
A terceira solução encontrada exibia a equação x + 3 (2x – 5) = 6 como modelo para o cálculo do salário. Todos encontraram como solução para o salário 3 mil reais e para a mensalidade da faculdade, mil reais.
Com base no caso apresentado, assinale a afirmativa correta.